发展战略
名园筑何处,仙境别红尘。二二
一、选择题
1.被誉为“人工智能之父”的科学家是( C )。
A. 明斯基 B. 图灵
C. 麦卡锡 D. 冯.诺依曼
2. AI的英文缩写是( B )
A. Automatic Intelligence B. Artificial Intelligence
C. Automatic Information D. Artificial Information
3. 下列那个不是子句的特点( D )
A.子句间是没有合取词的(∧) B子句通过合取词连接句子(∧)
C子句中可以有析取词(∨) D子句间是没有析取词的(∨)
4. 下列不是命题的是( C )。
A.我上人工智能课 B. 存在最大素数
C.请勿随地大小便 D. 这次考试我得了101分
5. 搜索分为盲目搜索和( A )
A启发式搜索 B模糊搜索
C精确搜索 D大数据搜索
6. 从全称判断推导出特称判断或单称判断的过程,即由一般性知识推出适合于某一具体情况的结论的推理是( B )
A. 归结推理 B. 演绎推理
C. 默认推理 D. 单调推理
7. 下面不属于人工智能研究基本内容的是( C )
A. 机器感知 B. 机器学习
C. 自动化 D. 机器思维
8. S={P∨Q∨R, ┑Q∨R, Q, ┑R}其中, P 是纯文字,因此可将子句( A )从 S中删去
A. P∨Q∨R B. ┑Q∨R
C. Q D. ┑R
9. 下列不属于框架中设置的常见槽的是( B )。
A. ISA槽 B. if-then槽
C. AKO槽 D. Instance槽
10. 常见的语意网络有( D )。
A. A-Member - of联系 B. Composed–of联系
C. have 联系 D. 以上全是
1.在深度优先搜索策略中,open表是( B )的数据结构
A. 先进先出 B. 先进后出
C. 根据估价函数值重排 D. 随机出
2.归纳推理是( B )的推理
A. 从一般到个别 B. 从个别到一般
C. 从个别到个别 D. 从一般到一般
3. 要想让机器具有智能,必须让机器具有知识。因此,在人工智能中有一个研究领域,主要研究计算机如何自动获取知识和技能,实现自我完善,这门研究分支学科叫( B )
A.专家系统 B.机器学习
C.神经网络 D.模式识别
4. 下列哪个不是人工智能的研究领域( D )
A.机器证明 B.模式识别
C.人工生命 D.编译原理
6. 在主观Bayes方法中,几率O(x)的取值范围为( D )
A. [-1, 1] B. [0, 1]
C. [-1, ∞) D. [0, ∞)
7. 仅个体变元被量化的谓词称为 ( A )
A. 一阶谓词 B. 原子公式
C. 二阶谓词 D. 全称量词
8. 在可信度方法中,CF(H,E)的取值为( C )时,前提E为真不支持结论H为真。
A. 1 B. 0
C. <0 D. >0
9. 机器学习的一个最新研究领域是.( A)
A. 数据挖掘 B. 神经网络
C. 类比学习 D. 自学习
10.语义网络表达知识时,有向弧AKO链、ISA链是用来表达节点知识的( C )。
A. 无悖性 B. 可扩充性
C. 继承性
3.下列不在人工智能系统的知识包含的4个要素中( D )。
A. 事实 B. 规则
C. 控制和元知识 D. 关系
5.下列哪部分不是专家系统的组成部分( A )。
A. 用户 B. 综合数据库
C. 推理机 D. 知识库
7. 所谓不确定性推理就是从( )的初始证据出发,通过运用( )的知识,最终推出具有一定程度的不确定性但却是合理或者近乎合理的结论的思维过程。 ( A )
A. 不确定性, 不确定性 B. 确定性, 确定性
C. 确定性, 不确定性 D. 不确定性, 确定性
10. C(B|A) 表示在规则A->B中,证据A为真的作用下结论B为真的 ( B )
A. 可信度 B. 信度
C. 信任增长度 D. 概率
11.设离散型随机变量X,Y的联合概率分布为 a, b的值为( A )

A. a=2/9 b=1/9 B. a=1/9 b=2/9
C. a=1/6 b=1/6 D. a=5/18 b=1/18
3. 经典逻辑推理的方法不包括那个( D )
A自然演绎推理 B归结演绎推理
C与或形演绎推理 D假设推理
6. 盲目搜索策略不包括下列那个( D )
A 广度优先搜索 B 深度优先搜索
C 有界深度优先搜索 D 全局择优搜索
小结:
盲目搜索:广度优先搜索、深度优先搜索、有界深度优先搜索、代价树的广度优先搜索、代价树的深度优先搜索。
启发式搜索:全局择优搜索、局部择优搜索。
7.下列哪种搜索方式必然能够找到解( C )
A. 深度优先 B. 堆栈搜索
C. 广度优先 D. 混合搜索
7.以下推理不正确的是( A )
A. 如果下雨,则地上是湿的; 没有下雨, 所以地上不湿
B. 如果x是金属,则x能导电;铜是金属, 所以铜能导电
C. 如果下雨,则地下湿;地下不湿, 所以没有下雨
D. 小贝喜欢可爱的东西;哈士奇可爱;所以小贝喜欢哈士奇。
9、以下哪一项没有发生冲突(D)
A、一个已知事实可以与知识库中多个知识匹配成功
B、多个已知事实与知识库中的一个知识匹配成功
C、多个已知事实可以与知识库中多个知识匹配成功
D、已知事实不能与知识库中的任何知识匹配成功
10. 下列选项中那一种情况不是发生冲突( BC )
A. 已知事实能与知识库中的任何知识匹配成功;
B. 已知事实不能与知识库中的任何知识匹配成功;
C. 已知事实恰好只与知识库中的一个知识匹配成功;
D. 已知事实可以与知识库中的多个知识匹配成功;或者有多个(组)已知事实都可与知识库中的一个知识匹配成功;或者有多个(组)已知事实可与知识库中的多个知识匹配成功。
1.人工智能中用“如果....则....”关联起来的知识称为( B )
A. 产生式 B. 规则
C. 关系式 D. 模式
2.下列那一项不是知识的标识方法( C )
A. 一阶谓词表示法 B. 状态空间法
C. 关系式表示法 D. 框架表示法
3.INSTANCE槽是用来建立( B )槽的逆关系。
A. ISA B. AKO
C. SUBCLASS D. MEMBEROF
4.下图代表的关系是( B )

A. 分类关系 B. 聚集关系
C. 推论关系 D. 时间位置关系
5. 关于下列的推理你的观点是:( D )
(1) 如果行星系统是以太阳为中心的,则金星会显示出位相的变化;
(2) 金星显出位相变化;
(3) 所以行星系统是以太阳为中心的。
A. 对,因为符合自然演绎推理的规则。
B. 不对,因为使用了否定前件的推理。
C. 对,因为经典逻辑推理是从一组已知为真的事实出发,直接运用经典逻辑的推理规则推出结论的过程,而上题符合这个特征所以是对的。
D. 不对,因为使用了肯定后件的推理。
6.在不确定推理中,对于初始证据,其值由用户给出,对于推理所得证据,其值由( C )得到。
A. 不确定性的匹配算法计算得到
B. 不确定性的阈值选择算法得到
C. 不确定性的传递算法计算得到
D. 不确定性的合成算法计算得到
9.反演归结(消解)证明定理时,若当前归结式是( C )时,则定理得证。
A. 永真式 B. 包孕式
C. 空子句 D. 永假式
10.从已知事实出发,通过规则库求得结论的产生式系统的推理方式是( A )
A. 正向推理 B. 反向推理
C. 双向推理 D. 混合推理
1.人工智能是知识与智力的综合,其中下列不是智能的特征的是(A)
A. 具有自我推理能力 B. 具有感知能力
C. 具有记忆与思维的能力 D. 具有学习能力以及自适应能力
2. 下列不是谓词表示法特点的是(B)
A. 自然性 B. 简易性
C. 严密性 D. 描述性
3.下列哪个不是不确定性推理的方法(C)
A. 主观Bayes方法 B. 可信度方法
C. 理论推理法 D. 模糊推理法
4.在主观Bayes方法中,证据E支持结论H时有(C)
A.LS<1 B.LS=1
C.LS>1 D.LS<0
5. 下列哪个系统属于新型专家系统(D)
A.多媒体专家系统 B.实时专家系统
C.军事专家系统 D.分布式专家系统
6.人工智能研究的最重要最广泛的两大领域是(B)
A.专家系统 自动规划 B.专家系统 机器学习
C.机器学习 自动规划 D.机器学习 自然语言理解
8.语义网络的组成部分(C)
A. 框架与弧线 B.状态和算符
C. 结点和链 D.槽和值
9.设有代换:q = {f(y)/x, z/y}, l = {a/x, b/y, y/z} 则q o l = ( A )
A.{f(b)/x,y/z}
B.{f(b)/x, z/y}
C.{f(y)/x, y/z }
D.{f(b)/x, z/b}
10、下列说法不正确的是 B
A. 空子句是永假的,不可满足的。
B. 在谓词逻辑中,不是任何一个谓词公式都可通过应用等价关系及推理规则化成相应的子句集。
C. 任何文字的析取式称为子句。
D. 归结演绎定理证明的实质是对前提P和结论Q证明P->Q的永真性。
1、人工智能研究的基本内容不包括(B)
A、机器行为 B、机器动作
C、机器思维 D、机器感知
2、下列说法不正确的是 (C)
A、永真性:如果谓词公式P对个体域D上的任何一个解释都取得真值T,则称P在D上是永真的
B、可满足性:对于谓词公式P,如果至少存在一个解释使得公式P在此解释下的真值为T,则称公式P是可满足的
C、永真性:如果谓词公式P在个体域D上,存在一个解释都取得真值T,则称P在D上是永真的
D、不可满足性:如果谓词公式P对于个体域D上的任何一个解释都取得真值F,则称P在D上是永久假的,如果P在每个非空个体域上均永假,则称P永假
3、下列哪个符合著名的Bayes公式(A)
A、P(Ai/B)=P(Ai)×P(B/Ai)/∑(P(Aj)×P(B/Aj))
B、P(Ai/B)=P(Ai)×P(Ai/B)/∑(P(Aj)×P(B/Aj))
C、P(Ai/B)=P(B)×P(B/Ai)/∑(P(Aj)×P(B/Aj))
D、P(Ai/B)=P(Ai)×P(B/Ai)/∑(P(Bj)×P(A/Bj))
6、下列哪个不是框架表示法的特点(C)
A、结构化深层知识表示 B、易附加过程信息
C、层次间相互独立 D、组织结构化
10、演绎推理的三段论式不包括(A)
A、推理 B、结论
C、大前提 D、小前提
2、智力具有 B 、记忆与思维能力、学习及自适应能力、行为能力。
A自我提高能力 B感知能力
C改变能力 D认知能力
3、归结策略大致可分为两大类: 、 。(D)
A、递归策略 循环策略 B、限制策略 循环策略
C、删除策略 递归策略 D、删除策略 限制策略
4、太阳从东边升起是_A_
A必然事件 B不确定事件
C不可能事件 D不可能事件
5、以下哪一个公式是正确的(B)
A P ∧(P ∧ R) ←→P
B
C P∨(Q∧R) ←→ (P∧Q)∨ (P∧ R)
D P∨(P∧R) ←→R
6、下列数字哪个表示最模糊(B)
A 0.8 B 0.5
C 0 D 1
7、掷二枚骰子,事件A为出现的点数之和等于3的概率为 ( B )
A 1/11 B 1/18 C 1/6 D 都不对
8、市场上某商品来自两个工厂,它们市场占有率分别为60%和40%,有两人 各自买一件。 则买到的来自不同工厂之概率为 ( C )
A 0.5 B 0.24 C 0.48 D 0.3
9、模式匹配分为 和 。(D)
A、模糊匹配 精确匹配
B、复杂匹配 进件匹配
C、相似匹配 精确匹配
D、确定匹配 不确定性匹配
10、设甲、乙、丙三人中有人从不说真话,也有人从不说假话,某人向着三人分别提出一个问题:谁是说谎者?
甲答:“B和C都是说谎者”;
乙答:“A和C都是说谎者”;
丙答:“A和B至少有一个是说谎者”。
谁是老实人,谁是说谎者?(C)
A、甲是老实人,乙是说谎者
B、甲是老实人,丙是说谎者
C、丙是老实人,甲是说谎者
D、丙是老实人,乙是说谎者
二、判断题
1. 人工智能是智能计算机系统,即人类智慧在机器上的模拟,或者说是人们使机器具有类似于人的智慧(对语言能理解、能学习、能推理)。 ( T )
2. 经典命题逻辑和谓词逻辑的语义解释只有两个:真和假,0和1。 ( T )
3. 海伯伦定理可以在计算机上实现其证明过程。( F )
4. 鲁宾逊归结原理中空子句是不可满足的,若一个子句集包含空子句集,则这个子句集一定是不可满足的。( T )
5. 逆向推理的缺点是若提出的假设目标不符合事实,但是不会降低系统效率。( F )
6. 不确定性推理指推理所使用的知识和推出的结论可以是不确定的。所谓不确定性是真值
为假。( T )
7. 鲁宾逊归结原理中,设C1与C2是子句集S中的两个子句,C12是它们的归结式,若把C12加入S中,得到新子句集S2,则S与S2是等价的。(F)
8. 产生式规则不能表达具有结构性的知识,但效率较高。( F )
9. 框架是用于描述具有固定的静态对象的通用数据结构,但是也可以描述某些简单的动态对象。( F )
10. 语义网络系统由两部分组成:由语义网络组成的知识库和 用于求解问题的解释程序即推理机。( T )
1. 人工智能是计算机科学的一个分支,是智能计算机系统,即人类智慧在机器上的模拟,或者说是人们使机器具有类似于人的智慧(对语言能理解、能学习、能推理)。 (√ )
2. 在0,1,…,9,这10个数字当中,一次任取两个,则抽到5这个数字的概率是0.1.(× )
3. 人工智能的研究途径是主张通过运用计算机科学的方法进行研究,实现人工智能在计算机的模拟。(√ )
4. ("x){P(x)àP(x)}消去蕴含符号得:($x){ØP(x)ÚP(x)}。 (× )
5. 人工智能的研究长期目标是使现有的电子计算机更聪明,更有用,使它不仅能做一般的数值计算及非数值信息的数据处理,而且能运用知识处理问题,能模拟人类的部分智能行为。( ×)
6.命题是可以判断真假的语句。(× )
7. 单个谓词是谓词公式。(√ )
8. 产生式系统的构成规则库,综合数据库两部分。(× )
9. “他每天下午都去打篮球。”用相应的谓词公式表示为:
TIME(X): X是下午 PLAY(X,Y):X去打Y
("X)TIME(X) PLAY(HE,BASKETBALL)(√ )
10.规则演绎系统和产生式系统有正向推理、逆向推理和双向推理三种推理方式。逆向推理是从用户提供的初始已知事实出发,在知识库KB中找出当前可适用的知识,构成可适用知识集KS,然后按某种冲突消解策略从KS中选出一条知识进行推理,并将推出的新事实加入到数据库中作为下一步推理的已知事实,在此之后再在知识库中选取可适用的知识进行推理,如此重复,直到求得了所要求的解,或者知识库中再无可适用的知识为止。 (× )
1.如果搜索是经接近起始节点的程序来依次扩展节点,这种搜索叫深度搜索。(×)
2.启发式搜索一定比盲目式搜索好(×)
3.语义网络、框架等知识表示方法,均是对知识和事实的一种静止的表示方法。(√)
4. 反向推理是以已知事实作为出发点,按照一定的策略,运用知识库中的知识,推断出结论的过程(× )
5.专家系统的结构选择不需要根据系统的应用环境和所执行任务的特点就可以确定。(×)
6.图搜索算法中,CLOSE表用来登记待考察的节点(×)
7. 框架适合表达结构性的知识,概念、对象等知识最适于用框架表示(√)
8. 当有一条以上的规则的条件部分和当前数据库相匹配时,就需要决定首先使用哪一条规则,这称为冲突解决。(√)
9.命题逻辑无法把它所描述的客观事物的结构及逻辑特征反映出来,也不能把不同事物间的共同特征表述出来。 (√ )
1、根据经验对一个事物或现象为真的相信程度称为可信度(√)
2、可信度带有较大的主观性和经验性,其准确性难以把握(√)
3、CF模型是基于可信度表示不确定性推理的基本方法(√)
5、命题的取值只能有两个(×)
命题取值三个:真、假、无意义。
6、人工智能是人们使机器具有类似于人的智慧(对语言能理解,能学习,能推理)(√)
7、命题是能判断真假的陈述句(√)
8、被认为是人工智能“元年”的时间是1956年 (√)
9、任何模糊集的模糊度都是[0,1]上的一个数。 (√)
10、明天会下雨是真命题(×)
1.“多么美丽的祖国。”是命题(T)
2.命题逻辑实在为此逻辑的基础上发展起来的,命题逻辑可以看成是为此逻辑的一种特殊形式。(F)
3.模糊集A是正规模糊集,其核集可以为空。(F)
4.框架是用来描述具有固定的静态对象的通用数据结构,该对象用“对象...属性....属性值”表示。(T)
5.在用框架表示知识的系统中,问题的求解主要是通过匹配和扩展来实现的。(F)
6.在语义网络的一个三元组中,表示类属关系时,箭头所指得节点代表上层概念,而箭尾的节点代表下层节点。(T)
7.代换是形如{t1/x1,t2/x2,…,tn/xn}的有限集合。其中,t1,t2,…,tn是项;x1,x2,…,xn是可相同的变元。 (F)
8.不确定性推理是建立在经典逻辑基础上的一种推理,它是对不确定性知识的运用和处理。(F)
9.目前在专家系统中,知识的不确定性一般由领域专家给出,通常是一个数值,它表示相应知识的不确定性程度,称为知识的动态强度。(F)
10.人工智能所面向的是结构有序,能从中分析计算出规律的问题。(F)
3.命题逻辑有局限性,无法把它所描述的客观事物的结构及逻辑特征反映出来,也不能把不同事物间的共同特征表述出来。 T
4. 谓词公式是指无论是命题逻辑还是谓词逻辑,可以利用连接词把一些简单的命题连接起来构成一个合命题,表示一个比较复杂的含义。 T
5. 模糊性就是指客观事物在性态及类属方面的不分明性,其根源是在类似事物间存在一系列过渡状态,它们相互渗透,相互贯通,使得彼此之间没有明显的分界线。 T
6. λ水平截集是把模糊集合向特殊(普通)集合转化的一个重要概念。F
7.知识是人们在长期的生活及社会实践中积累起来的对客观世界的认识与经验,人们把实践中获得的信息关联在一起,就获得了知识。 T
8.推理的基本任务:是从一种判断推出另一种判断。 T
9. OPEN表用于存放将要扩展或者已扩展的节点。 F
10.深度优先搜索总可以得到解,而且得到的是路径最短的解。 F
1、主观 Bayes 方法利用新的信息将先验概率P(H)更新为后验概率P(H|E)的一种计算方法(T)
2、谓词的个体,可以是一个常量,也可以是一个变元,还可以是一个多元(F)
3、在相同的条件下重复进行某种试验时,试验结果不一定完全相同且不可预知的现象称为随机现象(T)
4、仅个体变元被量化的谓词称为二介谓词(F)
5、A是凸模糊集,即对任意λ∈[0,1],A的λ水平截集是闭区间(T)
6、谓词逻辑可以表示规则 (T)
7、蕴含式表示知识的范围比产生式表示的范围要广(F)
8、模糊推理是不确定性推理中的一种(T)
9、子句间既可以有合取词又可以有析取词(F)
10、归结策略中的限制策略尽可能减小了归结的盲目性,使其尽快的归结出空子句(T)
2. 人工智能的长期研究目标: 电子计算机更聪明,更有用,使它不仅能做一般的数值计算及非数值信息的数据处理,而且能运用知识处理问题,能模拟人类的部分智能行为 。(×)
3.“我吃的很饱是一个命题”是一个命题。(√)
4.假设d(A)为A的模糊度,如果模糊度靠近0则越模糊,等于0时最模糊。(×)
5.“雪是白色的”在人工智能中这种知识称为“规则”。(×)
6. 产生式系统一般由控制系统,规则库,综合数据构成。(√)
7. 归结推理有多种形式,经常用的是三段论式。(×)
8、参加归结的子句内部含有可合一的文字,则在进行归结之前应对这些文字先进行合一 。(√)
9、close表:用于存放将要扩展或者已扩展的节点,所谓对节点进行“扩展”是指:用合适的算符对该节点进行操作,生成一组子节点。(√)
10、CF(E)=0.6 表示证据 E 的可信度为 0.6。(√)
三、简答题
1、什么是推理?
从已知事实出发,通过运用已掌握的知识,找出其中蕴含的事实,或归结出新的事实,这一过程称为推理。
2、什么是语意网络,以及语义网络的组成?
语义网络是通过概念及其语义关系来表示知识的一种网络图。
语义网络由节点和节点间的弧组成,其中节点表示各种事物,概念,情况,属性,动作,状况等;弧表示各种语义联系,指明他所连接的节点间的各种语义联系。
3. 何谓产生式系统?它由哪几部分组成?
把一组产生式放在一起,让它们相互配合,协同作用,一个产生式生成的结论可以供另一个产生式作为已知事实使用,以求得问题的解,这样的系统称为产生式系统。
产生式系统一般由三个基本部分组成:规则库、综合数据库和推理机。
4.演义推理的定义及常用形式。
演绎推理:从全称判断推导出特称判断或单称判断的过程,即由一般性知识推出适合于某一具体情况的结论。它包括:1.大前提,这是已知的一般性知识或假设;2.小前提,这是关于所研究的具体情况或个别事实的判断;3.结论,这是由大前提推出的适合于小前提所示情况的新判断。
5. 框架系统中求解问题的一般过程?
(1) 首先把这个问题用一个框架表示出来;
(2) 然后通过与知识库中已有的框架进行匹配,找出一个或几个可匹配的预选框架作为初步假设,并在此初步假设的引导下收集进一步的信息;
(3) 最后用某种评价方法对预选框架进行评价,以便决定是否接受它。
1.人工智能的研究目标及人工智能的研究途径
(1) 人工智能的研究长期目标
人工智能的长期研究目标:构造可以实现人类智能的智能计算机或智能系统。
(2)人工智能的近期研究目标:
使现有的电子计算机更聪明,更有用,使它不仅能做一般的数值计算及非数值信息的数据处理,而且能运用知识处理问题,能模拟人类的部分智能行为。
随着人工智能研究的不断深入、发展,近期目标将不断变化,逐步向远期目标靠近
(3).研究途径:
以符号处理为核心的方法——主张通过运用计算机科学的方法进行研究,实现人工智能在计算机的模拟。
以网络连接为主的连接机制方法——主张用生物学的方法进行研究,搞清楚人类智能的本质。
2.什么是谓词公式
答:单个谓词是谓词公式
如果A是谓词公式,┐A也是谓词公式
若A,B都是谓词公式,则A∧B,A∨B,A→B,A←→B也是谓词公式
若A是谓词公式,X是任一个体变元,包含全称量词和存在量词的也是谓词公式。
3.在选择知识表示模型时,应该考虑那些因素?
答:充分表示领域知识
有利于对知识的利用
便于对知识的组织、维护与管理
便于理解和实现
4.什么是冲突?
答:在推理过程中,系统要不断地用当前已知的事实与知识库中的知识进行匹配,此时可能发生如下三种情况:
Ⅰ. 已知事实不能与知识库中的任何知识匹配成功;
Ⅱ. 已知事实恰好只与知识库中的一个知识匹配成功;
Ⅲ. 已知事实可以与知识库中的多个知识匹配成功;或者有多个(组)已知事实都可与知识库中的一个知识匹配成功;或者有多个(组)已知事实可与知识库中的多个知识匹配成功。
第三种为冲突。
1. 人工智能的定义
人工智能——计算机科学的一个分支,是智能计算机系统,即人类智慧在机器上的模拟,或者说是人们使机器具有类似于人的智慧(对语言能理解、能学习、能推理)。
2. 人人爱劳动(labour)。
(定义谓词:PEOPLE(x)表示“x是人”;LOVE(x,y)表示“x爱y”)

3.高老师从7月到8月给计算机系学生讲《计算机网络》课。用语义网络表示

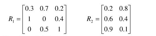
5.设有以下两个模糊关系

请写出R1°R2
R(1,1)=(0.3∧0.2)∨(0.7∧0.6)∨(0.2∧0.9)= 0.2∨0.6∨0.2=0.6
R(1,2)=(0.3∧0.8)∨(0.7∧0.4)∨(0.2∧0.1)= 0.3∨0.4∨0.1=0.4
R(2,1)=(1∧0.2)∨(0∧0.6)∨(0.4∧0.9)= 0.2∨0∨0.4=0.4
R(2,2)=(1∧0.8)∨(0∧0.4)∨(0.4∧0.1)= 0.8∨0∨0.1=0.8
R(3,1)=(0∧0.2)∨(0.5∧0.6)∨(1∧0.9)= 0.2∨0.6∨0.9=0.9
R(3,2)=(0∧0.8)∨(0.5∧0.4)∨(1∧0.1)= 0∨0.4∨0.1=0.4 
1、某校计科系一年级100名学生中有男生80名,来自昆明的20名学生中有 男生12名,选修数学建模课的40名学生中有男生32名,求碰到男生的情况下,不是昆明学生的概率:

2、![]()

3、已知甲袋中有6只红球,4只白球;乙袋中有8只红球,6只白球。求下列事件的概率:

5、用语义网络表示下列信息
胡途是思源公司的经理,他35岁,住在飞天胡同68号

6、清华大学与北京大学进行篮球比赛,最后以89:89的比分结束

7、将命题:“某个学生读过三国演义”用谓词公式表示
![]()
8、将命题:“某个学生读过三国演义”用语义网络表示

9、十字路口的交通信号灯每分钟红灯亮30秒,绿灯亮25秒,黄灯亮5秒,当你抬头看信号灯时,是黄灯的概率为_______________
1/12
10、在6件产品中,有2件次品,任取两件都是次品的概率是
1/15
1.命题公式的一个解释是什么含义?并求解下列命题公式的一个真值指派。
答:对命题公式中各个命题变元的一次真值指派称为命题公式的一个解释。
2.为什么要研究模糊理论?
答:概率论解决的问题是随机事件发生的可能性,仅仅是现实世界当中的一种不确定性。即事件本身明确只是发生的有一定条件;而模糊理论研究的是形态属性的不确定性,即事件本身就是不确定的。
3.假设已知下列事实:
张某被盗,公安局派了五个侦察员去调查。研究案情时,侦察员A说:“赵与钱中至少有一人作案”;侦察员D说:“钱与孙至少有一人作案”;侦察员C说:“孙与李中至少有一个作案”;侦察员D说“赵与孙至少一个与案无关”;侦察员E说“钱与李中至少有一人与此案无关”。如果这五个侦察员的话都是可信的,试用消解原理推理求出谁是盗窃犯。
由五个侦察员的话为真,有
P(z)Ú p(q) (1)
P(q)Ú p(s) (2)
P(s)Ú p(l) (3)
Øp(z)Ú Øp(s)(4)
Øp(q)Ú Øp(l)(5)
把结论的否定加入结论的否定的否定的子句中去,得:
Øp(x)v ØP(x)(6)
因为这些全都是子句,所以化为子句集的步骤可以省略了。
(1),(4)归结得:
p(q)Ú Øp(s)(7)
(2),(7)归结得:
p(q) (8)
即:钱是盗窃犯。
(5),(8)归结得:Øp(l)(9)
李不是盗窃犯。
(3),(9)归结得:p(s) (10)
孙是盗窃犯。
(4),(10)归结得:Øp(z)
赵不是盗窃犯。
所以,钱和孙是盗窃犯。
4.框架表示法的特点
1) 框架能进行结构化深层知识表示:
框架可为实体、属性关系和默认值等提供显示表示;其中提供默认值相当 于用人的经验预测。适合表示常识性知识;
表示实体固有的因果模型,便于知识的解释;
(2) 容易附加过程信息。框架主要描述静态知识,它的 if_needed,if_added,if_removed侧面可进行附加。
3.框架之间的层次结构提供了继承特性。一个框架的属性及附加过程可从高层次的框架继承下来。
4.框架间的组织结构化。框架可组织成层状;每个框架形成了一个独立的知识单元;可利用系统扩展、模块化。
1.(1)__核集___(2)__水平截集___(3)__支集___

![]()


2.若从推出结论的途径来划分,推理可分为:演绎推理、归纳推理 , 默认推理
3.知识的特性?
相对正确性、不确定性、可表示性与可利用性
4.用谓词逻辑表示:并不是每个人都喜欢打篮球
定义谓词:MAN(x):x是人
LIKE(x,y):x喜欢打y
┐(("X)MAN(X)→LIKE(X,篮球))
6.Open表和Closed表的作用
Open表用于存放刚生成的节点;Closed表用于存放将要扩展或者已经扩展的节点。
7.什么是可信度?
根据经验对一个事物或者现象为真的相信程度称为可信度
四、计算题
1. 设F是论域U上的模糊集,R是U×V上的模糊关系,F和R分别为:
求模糊变换F·R。
解:

={0.1∨0.4∨0.6, 0.3∨0.6∨0.3,0.4∨0.6∨0 }
={0.6, 0.6, 0.6}
2. 某公司招聘工作人员,A、B、C三人应试,经面试后公司表示如下想法:
(1) 三人中至少录取一人;
(2) 如果录取A而不录取B, 则一定录取C;
(3) 如果录取B,则一定录取C;
求证:公司一定录取C。
(1) P(A) Ú P(B) Ú P(C)
(2) Ø P(A) Ú P(B) Ú P(C)
(3) Ø P(B) Ú P(C)
(4) Ø P(C)
应用归结原理进行归结:
(5) P(B) Ú P(C) (1)与(2)归结
(6) P(C) (3)与(5)归结
(7) NIL (4)与 6)归结
\ 公司一定录取C。
3. 写出学生框架的描述。

4. 设有如下一组知识:
R1: IF E1 THEN H (0.8)
R2: IF E2 THEN H (0.6)
R3: IF E3 THEN H (-0.5)
R4: IF E4 AND (E5 OR E6) THEN E1 (0.7)
R5: IF E7 AND E8 THEN E3 (0.9)
已知:CF(E2)=0.8, CF(E4)=0.5, CF(E5)=0.6
CF(E6)=0.7, CF(E7)=0.6, CF(E8)=0.9
求:CF(H)=?
解:
由R4得到:
CF(E1)=0.7×max{0,CF[E4 AND (E5 OR E6)]}
=0.7×max{0,min{CF(E4),CF(E5 OR E6)}}
=0.35
由R5得到:
CF(E3)=0.9×max{0,CF[E7 AND E8]}
= 0.9 ´ 0.6
=0.54
由 r1 得到:
CF1( H ) = 0.8 ´ max { 0, CF ( E1 ) }
= 0.8 ´ 0.35
= 0.28
由 r2 得到:
CF2( H ) = 0.6 ´ max { 0, CF ( E2 ) }
= 0.6 ´ 0.8
= 0.48
由 r3 得到:
CF3( H ) = - 0.5 ´ max { 0, CF ( E3 ) }
= - 0.5 ´ 0.54
= - 0.27
结论不确定性的合成算法
CF1,2( H ) = CF1 ( H ) + CF2 ( H ) – CF1 ( H ) ´ CF2 ( H )
= 0.28 + 0.48 – 0.28 ´ 0.48
= 0.63
= 0.49
即:CF( H ) = 0.49
其他合并:13,2:CF( H ) =0.4872;23,1:CF( H ) =0.4888
5. 已知P(A)=1, P(B 1 )=0.04, P(B 2 )=0.02,
R1: A →B1 LS=20 LN=0.1
R2: B1 → B2 LS=300 LN=0.001
要求计算P(B2|A)。
解:使用规则R2 时,证据B 1 并不是确定的发生了,即
P(B 1 ) ≠1,因此要采用插值方法 。
先依照A 必然发生,由定义和R1得:
O(B 1 )=0.04/(1-0.04)=0.0417
O(B 1 |A)=LS*O(B 1 )=0.83
P(B 1 |A)=0.83/(1+0.83)=0.454
然后,由于P(B 1 |A)=0.454 大于P(B 1 ) ,假设P(B 1 |A)=1,计算:
P(B 2 |B 1 )=300*0.02/( (300 -1)*0.02+1)=0.857
最后,进行插值:
P(B 2 |A)=0.02+[(0.857-0.02)/(1-0.04)]*(0.454-0.04)=0.410
1.设已知:
(1)如果x是y的父亲,y是z的父亲,则x是z的祖父;
(2)每个人都有一个父亲。
使用归结演绎推理证明:对于某人u,一定存在一个人v,v是u的祖父。
解:先定义谓词
F(x, y):x是y的父亲
GF(x, z):x是z的祖父
P(x):x是一个人
再用谓词把问题描述出来:
已知F1:(
x) (
y) (
z)( F(x, y)∧F(y, z))→GF(x, z))
F2:(
y)(P(x)→F(x, y))
求证结论G:(
u) (
v)( P(u)→GF(v, u))
然后再将F1,F2和¬G化成子句集:
① ¬F(x, y)∨¬F(y, z)∨GF(x, z)
② ¬P(r)∨F(s, r)
③ P(u)
④ ¬GF(v, u))
对上述扩充的子句集,其归结推理过程如下:

3、(10分)已知:
如果x是y的父亲,y是z的父亲,则x是z的祖父
利用归结演绎推理证明:对于某个人u,一定存在人v,v是u的祖父
定义谓词:
F(x,y):y是x的父亲
G(x,y)y是x的祖父
F(x,y)∧F(y,z)→G(x,z):如果x是y的父亲,y是z的父亲,则x是z的祖父
G(u,v):如果u则存在一个v是他的祖父。
字句集合:
1:F(x,y)
2:F(y,z)
3:Ø F(x,y)∨ØF(y,z)∨G(x,z)
4:ØG(u,v)
5: ØF(y,z)∨G(x,z)1+3归结
6: G(x,z)2+5归结
7:nil 4+6{u/x,v/y}
所以命题成立
2. 设H1,H2,H3分别是三个结论,E是支持这些结论的证据,且已知:
P(H1)=0.3 P(H2)=0.4 P(H3)=0.5
P(E/H1)=0.5 P(E/H2) =0.3 P(E/H3) =0.4
求: P(H1/E) ,P(H2/E) , P(H3/E)
解:根据公式


3. 请对下列命题分别写出它们的语义网络:
(1) 每个学生都有一台计算机。

2写出来下面这棵树的广度优先和深度优先

深度优先:1-2-5-6-10-11-3-7-12-13-4-8-9
广度优先:1-2-3-4-5-6-7-8-9-10-11-12-13
四
1、谓词逻辑形式化下列描述 “不存在最大的整数

2、状态空间法的要点是什么?
状态空间法是以状态和算符为基础来表示和求解问题的,三个要点是:状态,算符,问题的状态空间
3、语义网络的要点是什么?
类属关系,包含关系,属性关系,时间关系,位置关系,相近关系,推论关系
4、将下列自然语言转化为谓词表示形式:
(1) 所有的人都是要呼吸的。
(2) 每个学生都要参加考试。
(3) 任何整数或是正的或是负的。
(1) V-x(M(x)→H(x)) (2) V-x(P(x)→Q(x))
3.已知U={u1, u2, u3,u4,u5} 并设A、B是U上的两个模糊集,且有 A=0.9/u1+0.7/u2+0.5/u3+0.3/u4
B=0.6/u3+0.8/u4+1/u5
求A∪B 、A∩B、﹁A。
解:A∩B =(0.9∧0)/ u1+(0.7∧0)/ u2+(0.5∧0.6)/u3+(0.3∧0.8)/u4+(0∧1)/u5
=0/ u1+0/ u2+0.5/u3+0.3/u4+0/u5
=0.5/u3+0.3/u4
A∪B=(0.9∨0)/ u1+(0.7∨0)/ u2+(0.5∨0.6)/u3+(0.3∨0.8)/u4+(0∨1)/u5
=0.9/ u1+0.7/ u2+0.6/u3+0.8/u4+1/u5
﹁A=(1-0.9)/ u1+(1-0.7)/ u2+(1-0.5)/u3+(1-0.3)/u4+(1-0)/u5
=0.1/ u1+0.3/ u2+0.5/u3+0.7/u4+1/u5
1.F1:张先生是小王的上司(boss);
F2:小王是小刘的同事(workmate);
F3:如果X和Y是同事,则X的上司也是Y的上司。
求:小刘的上司是谁?
解:
谓词的定义:boss(X,Y):Y是X的上司;
workmate(X,Y):X和Y是同事。
将已知前提及带求解问题表示成谓词公式:
F1:boss(wang , zhang).
F2:workmate(liu,wang).
F3:![]()
G:![]()
将上述公式化为子句集:
主要是以下9步:
1.去蕴含(
);
2.把非移到仅靠谓词的位置;
3.重新命名变元名;
4.消去存在;
5.将全称量词向左靠;
6.转化成子句集(是合取的形式);
7.去全称量词;
8.对变元更名,是不同子句中的变元名不同;
9.消去合取词;
最终得到的子句集如下:
(1)boss(wang , zhang).
(2)workmate(liu,wang).
(3)
.
(4)![]()
应用归结原理进行归结
(5)------(1)(3)归结
![]()
![]()
最终归结为:
.
(6)------(4)(5)归结
最终归结为:![]()
(7)-------(2)(6)归结
最终归结为:![]()
由ANSWER(zhang)可得出:小刘的上司是张先生。
2.已知:能阅读的人是识字的;海豚不识字;有些海豚是很聪明的。
用归结策略证明:有些很聪明的人并不识字
解:
证明:首先定义谓词和常量:(2 分)
Read(x)表示x 是能阅读的;
Know(y)表示y 是识字的;
Wise(z)表示z 是很聪 明的;
r 表示人类,h 表示海豚。
然后将已知事实和目标的否定用谓词公式表示出来,并将它们化成子句集:(2 分)
(1) ~Read(r)∨Know(r)
(2) ~Know(h)
(3) Wise(a)
(4) ~Wise(r)∨Know(r) 最后对以上子句集进行归结。(4 分)
(5) Know(a) (3)与(4)归结,σ={a/r}
(6) NIL (2)与(5)归结,σ={a/h} 从而命题得证。
3.已知:
F1:王(Wang)先生是小李(Li)的老师;
F2:小李与小张(Zhang)是同班同学;
F3:如果 x与 y 是同班同学,则 x 的老师也是 y 的老师。
求:小张的老师是谁?
解: 首先定义谓词:
T(x, y):x 是 y 的老师;
C(x, y):x 与 y 是同班同学。
把已知前提及待求解的问题表示成谓词公式:
F1: T(Wang, Li)
F2: C(Li, Zhang)
F3: ("x)("y)("z)(C(x,y)ÙT(z,x)®T(z,y))
G: Ø($x)T(x,Zhang)Ú ANSWER(x)
把上述公式化为子句集:
(1) T(Wang,Li)
(2) C(Li,Zhang)
(3) ØC(x,y)ÚØT(z,x)ÚT(z,y)
(4) ØT(u,Zhang)ÚANSWER(u)
用归结原理进行归结:
(5) ØC(Li, y) Ú T(Wang, y) (1)与(3)归结
(6) ØC(Li, Zhang) Ú ANSWER(Wang) (4)与(5)归结(wang/u)
(7) ANSWER(Wang) (2)与(6)归结
由ANSWER(Wang) 得知,小张的老师是王老师。
2设有规则
r1: IF E1 THEN (2, 0.0001) H1
r2: IF E1 AND E2 THEN (100, 0.001) H1
r3: IF H1 THEN (50, 0.01) H2
已知:P(E1)=P(E2)=0.6 P(H1)=0.091,P(H2)=0.01
P(E1|S1)=0.84, P(E2|S2)=0.68,求P(H2|S1,S2)
解:(1) 由r1计算O(H1| S1)
先把H1的先验概率更新为在E1下的后验概率P(H1| E1)
P(H1| E1)=(LS1 × P(H1)) / ((LS1-1) × P(H1)+1)
=(2 × 0.091) / ((2 -1) × 0.091 +1)
=0.16682
由于P(E1|S1)=0.84 > P(E1),使用P(H | S)公式的后半部分,得到在当前观察S1下的后验概率P(H1| S1)和后验几率O(H1| S1)
P(H1| S1) = P(H1) + ((P(H1| E1) – P(H1)) / (1 - P(E1))) × (P(E1| S1) – P(E1))
= 0.091 + (0.16682 –0.091) / (1 – 0.6)) × (0.84 – 0.6)
=0.091 + 0.18955 × 0.24 = 0.136492
O(H1| S1) = P(H1| S1) / (1 - P(H1| S1))
= 0.15807
(2) 由r2计算O(H1| S2)
先把H1的先验概率更新为在E2下的后验概率P(H1| E2)
P(H1| E2)=(LS2 × P(H1)) / ((LS2-1) × P(H1)+1)
=(100 × 0.091) / ((100 -1) × 0.091 +1)
=0.90918
由于P(E2|S2)=0.68 > P(E2),使用P(H | S)公式的后半部分,得到在当前观察S2下的后验概率P(H1| S2)和后验几率O(H1| S2)
P(H1| S2) = P(H1) + ((P(H1| E2) – P(H1)) / (1 - P(E2))) × (P(E2| S2) – P(E2))
= 0.091 + (0.90918 –0.091) / (1 – 0.6)) × (0.68 – 0.6)
=0.25464
O(H1| S2) = P(H1| S2) / (1 - P(H1| S2))
=0.34163
(3) 计算O(H1| S1,S2)和P(H1| S1,S2)
先将H1的先验概率转换为先验几率
O(H1) = P(H1) / (1 - P(H1)) = 0.091/(1-0.091)=0.10011
再根据合成公式计算H1的后验几率
O(H1| S1,S2)= (O(H1| S1) / O(H1)) × (O(H1| S2) / O(H1)) × O(H1)
= (0.15807 / 0.10011) × (0.34163) / 0.10011) × 0.10011
= 0.53942
再将该后验几率转换为后验概率
P(H1| S1,S2) = O(H1| S1,S2) / (1+ O(H1| S1,S2))
= 0.35040
(4) 由r3计算O(H2| H1)
先把H2的先验概率更新为在H1下的后验概率P(H2| H1)
P(H2| H1)=(LS3 × P(H2)) / ((LS3-1) × P(H2)+1)
=(50 × 0.01) / ((50 -1) × 0.01 +1)
=0.33557
由于P(H1| S1,S2)=0.35040 > P(H1),使用P(H | S)公式的后半部分,得到在当前观察S1,S2下H2的后验概率P(H2| S1,S2)和后验几率O(H2| S1,S2)
P(H2| S1,S2) = P(H2) + ((P(H2| H1) – P(H2)) / (1 - P(H1))) × (P(H1| S1,S2) – P(H1))
= 0.01 + (0.33557 –0.01) / (1 – 0.091)) × (0.35040 – 0.091)
=0.10291
O(H2| S1,S2) = P(H2| S1, S2) / (1 - P(H2| S1, S2))
=0.10291/ (1 - 0.10291) = 0.11472
可见,H2原来的概率是0.01,经过上述推理后得到的后验概率是0.10291,它相当于先验概率的10倍多。
5.设有如下知识:
r1: if E1 then (2, 0.001) H1
r2: if E2 then (100, 0.001) H1
r3: if H1 then (200, 0.01) H2
已知: P(H1)=0.09 , P(H2)=0.01, C(E1/S1)=2
C(E2/S3)=1
求: P(H2/S1,S2)=?
CP公式:

解:




7、设有如下的知识
r1:IF E1(0.6) and E2(0.4) then E6(0.8,0.75)
r2:IF E3(0.5) and E4(0.3) and E5(0.2) then E7(0.7,0.6)
r3:IF E6(0.7) and E7(0.3) then H(0.75,0.6)
已知:
CF(E1)=0.9, CF(E2)=0.8, CF(E3)=0.7, CF(E4)=0.6, CF(E5)=0.5
求CF(H)
解:
r1:CF(r1) 规则1的证据可信度
=CF(E1(0.6) and E2(0.4))
=w1×CF(E1)+w2×CF(E2)=0.6×0.9+0.4×0.8
=0.86
r2:CF(r2) 规则2的证据可信度
=CF( E3(0.5) and E4(0.3) and E5(0.2) )
= w3×CF(E3)+w4×CF(E4)+ w5×CF(E5)
=0.5×0.7+0.3×0.6+0.2×0.5
=0.63
CF(r1)> l1, CF(r2)> l2 l1=0.75 l2=0.6
CF(r1)> CF(r2)
r1:CF(E6)=0.8×0.86=0.69
r2:CF(E7)=0.7×0.63=0.44
r3:CF(r3)
=CF(E6(0.7) and E7(0.3))
=0.69×0.7+0.44×0.3
=0.615
CF(r3)> l3
CF(H)=0.615×0.75=0.46
8.3左右=0.5/2 +1/3 +0.6/4
2左右=0.4/1 +1/2 +0.7/3
求:3左右+2左右=?
解:

9、设A是论域U上的模糊集,R是U×V上的模糊关系,A和R分别为:

求模糊变换A。R .
解:

10、 设有模糊矩阵

1、(10分)班级里有小王,小李和小杜,他们在讨论自己对零食的喜爱程度,
每个人有不同的爱好,把他们对各种零食的喜好程度列成一张表格
爆米花 | 绿豆糕 | 猫耳朵 | 辣条 | |
小王 | 0.6 | 0.2 | 0.5 | 0.8 |
小李 | 0.3 | 0.8 | 0.1 | 0 |
小杜 | 0.8 | 0 | 0.7 | 0.5 |
请表示他们的关系,并与R1进行合成。
答案:
关系:R0
0.6 0.2 0.5 0.8
0.3 0.8 0.1 0
0.8 0 0.7 0.5

0.6 0.7
R0*R1= 0.5 0.8
0.5 0.5
2、(10分)设有三个独立的结论H1,H2,H3 及两个独立的证据E1,E2 ,它们的先验概率和条件概率分别为:
P(H1)=0.4, P(H2)=0.3, P(H3)=0.3
P(E1/H1)=0.5, P(E1 /H2)=0.3, P(E1/H3)=0.5
P(E2/H1)=0.7, P(E2/H2)=0.9, P(E2/H3)=0.1
利用概率方法分别求出:
(1)当只有证据E1 出现时,P(H1/ E1)、P(H2/ E1)、P(H3/ E1)的值;并说明E1的出现对证据H1,H2和H3的影响。
(2)当E1和E2同时出现时,P(H1/ E1 E2)、P(H2/ E1 E2)、P(H3/ E1 E2)的值;
答案:(1)P(H1/ E1)=0.45
P(H2/ E1)=0.20
P(H3/ E1)=0.34
(2)P(H1/ E1 E2)=0.5933
P(H2/ E1 E2)=0.3433
P(H3/ E1 E2)=0.0636
2、重排九宫问题。在3X3的方格棋盘上放置分别标有数字1,2,3,4,5,6,7,8的八张牌,初始状态为S0,目标状态为S,如下图所示。
可使用的算符有:
空格左移,空格上移,空格右移,空格下移。即,它们只允许把位于空格左,上,右,下边的牌移入空格。要求寻找从初始状态到目标状态的路径。

解的路径是: S0®3 ®8 ®16 ®26 (Sg)
3. 设有如下事实:
赵云是一个学生;
她在东方大学主修计算机课程;
她入校的时间是1990年。
求解问题: 赵云主修什么课程?
解: 将事实用下列语义网络表示出来放在知识库中。



